Simple Model¶
约 3431 个字 预计阅读时间 17 分钟
Regular Language & Finite Automata¶
Deterministic Finite Automata¶
有限状态机拥有一定数量的状态,状态之间通过一些特定条件进行转移。用图像表示,State Diagram 的一些表示符号如下:
一个 Deterministic Finite Automata (DFA) 由五个参数 \((K,\Sigma , \delta, s, F)\) 组成:
- \(K\): 有限状态集合
- \(\Sigma\): 字母表
- \(s\in K\): 初始状态
- \(F\subseteq K\): 最终状态集合(set of final states)
- \(\delta\): 转移方程
- \(\delta: K\times \Sigma \rightarrow K\)
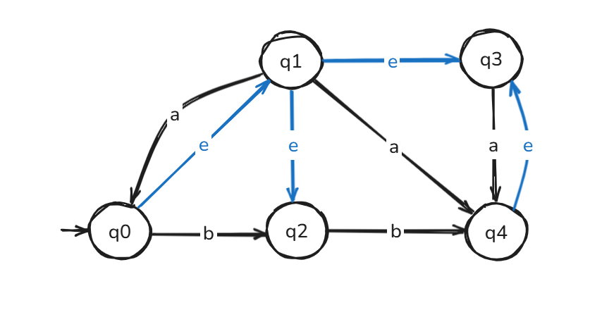
设计一个 DFA,要求实现 Language \(L_1 =\{w\in \{a,b\}^* : w\text{ 没有三个连续的 b}\}\)
如果我们想要 \(L_2=\{w\in\{a,b\}^* : w\text{ 包含三个连续的 b}\}\) 怎么办?
由于 \(L_2 = \Sigma^* - L_1\),我们只需要将 Final States \(F=\{q_0, q_1, q_2\}\) 变为 \(F=\{q_3\}\) 即可。
Configuration 是 \(K\times \Sigma^*\) 的子集,代表了一个 DFA 当前的状态,表示为 \((q,w)\),其中:
- \(q\in K\) 为当前状态(current state)
- \(w\in \Sigma^*\) 为尚未读取的剩余输入串
我们使用符号 \(\vdash_M\) 来表示 DFA 在配置之间的转移:
此时一定存在某一 Symbol \(a\in \Sigma\) 在配置转移过程中被读取,并且有:
- \(w=aw'\)
- \(\delta (q,a) = q'\)
\(\vdash_M^*\) 是运算 \(\vdash_M\) 关于 reflexive, transitive 的 Closure,那么 \((q, w) \;\vdash_M^*\; (q', w')\) 说明配置 \((q,w)\) 可以在有限步转移到 \((q', w')\),并且我们此时称 \((q,w)\) yields \((q',w')\)。
这里的有限步也可以是 0,因此也有 \((q,w)\; \vdash_M^* \; (q,w)\)
此时,我们可以将上面对于 Final States 描述改为:
A string \(w\in \Sigma^*\) is said to be accepted by M iff there is a state \(q\in F\) such that \((s,w)\; \vdash_M^*\; (q,e)\)。
所有被 DFA \(M\) 接受的 string 集合表示为 \(L(M)\),它是被 \(M\) 接受的 Language。
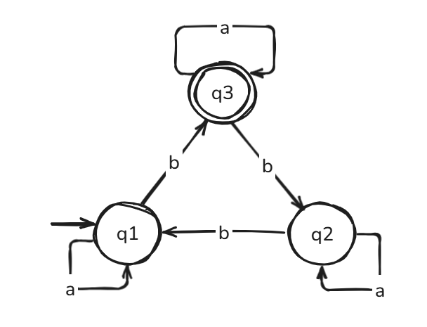
DFA 最小化问题
- <1> 删除所有不可达状态
- <2> 合并等价状态
- <2.1> 初始状态分为接受组和非接受组,因为接收状态和非接受状态不等价
- <2.2> 考察接收到某一输入符号后,某组内的不同状态是否会转移到不同等价组
- 如果不等价,则将它们分开建为新组
- <2.3> 重复 2.2,直到无法细分
Example
根据规则:“接受状态与非接受状态不等价”。我们将所有状态分成两组:
- 接受状态组 (Final): \(\{q_5\}\) (双圈状态)
- 非接受状态组 (Non-Final): \(\{q_0, q_1, q_2, q_3, q_4\}\)
检查大组 \(\{q_0, q_1, q_2, q_3, q_4\}\) 内部是否还能拆分,例如考察输入 1:
- \(q_0\) 输入 1 \(\to\) \(q_2\) (在非接受组)
- \(q_1\) 输入 1 \(\to\) \(q_3\) (在非接受组)
- \(q_2\) 输入 1 \(\to\) \(q_5\) (在接受组)
- \(q_3\) 输入 1 \(\to\) \(q_5\) (在接受组)
- \(q_4\) 输入 1 \(\to\) \(q_5\) (在接受组)
\(q_0, q_1\) 在输入 1 后仍然留在非接受组,而 \(q_2, q_3, q_4\) 在输入 1 后跳到了接受组 (\(q_5\))。因此,\(\{q_0, q_1\}\) 和 \(\{q_2, q_3, q_4\}\) 必须分开。现在的划分变成了三组:\(P_1 = \{ \{q_0, q_1\}, \{q_2, q_3, q_4\}, \{q_5\} \}\)
后续细分步骤以此类推
Nondeterministic Finite Automata¶
NFA 不同于 DFA,它在某些状态下读到一个符号时,可能有多个去向,甚至可以不读入输入就跳转。这种不确定性让它同时尝试多条路径,只要有一条成功就接受输入。
NFA 同样是由五个参数组成,不同的是,它的转换方式由 function 变为了 relation:
- \(K\): finite set of states
- \(\Sigma\): alphabet
- \(s\in K\): initial state
- \(F\subseteq K\): set of final states
- \(\Delta\): transition relation
- \(\Delta \subseteq K\times (\Sigma \cup \{e\}) \times K\)
两个自动机 \(M_1\),\(M_2\) 相等,当且仅当 \(L(M_1)=L (M_2)\)。我们希望证明 DFAs 和 NFAs 在能力上等价时,必须证明以下两件事:
- For each DFA, produce an NFA that accepts the same language
- For each NFA, produce an DFA that accepts the same language
其中第一点是显而易见的,对于第二点要求,给定一个 NFA,可以构造一个等价 DFA,这意味着我们需要“填补” DFA 和 NFA 之间的差异。
- Difference 1: Transition Relation
- Transition relation of DFA 一定是一个 function: \(K\times \Sigma \times K\)
- Transition relation of NFA 不一定是 function: \(K\times (\Sigma \cup \{e\}) \times K\)
- Difference 2: Domain
- The domain of transition relation of DFA is \(K\times \Sigma\)
- The domain of transition relation of NFA is \(K\times (\Sigma \cup \{e\})\)
- 即 NFA 容忍无字符输入下的状态转移
【Example】
下面我们以一个 NFA 为例:
绘制成 State Diagram 的结果如下:
为了解决以上两点 Difference,我们可以从初始状态开始思考,计算转换后的 DFA 有什么状态。我自己思考总结得到的计算方法如下:
zq 老师的 PPT 上的方法我没太理解,且绿色部分 PPT 上没有
按照定义,一个 DFA 要求每个状态对于每个输入符号都必须有且只有一个转移,否则意味着自动机在这个输入上是不确定的。
现在我们回顾一下 Language 中的闭包 EClose \(E(q)\):
在状态机模型下,\(E(q)\) 即表示状态机 \(M\) 从状态 \(q\) 开始,在无输入的情况下能达到的所有状态的集合。
除此之外,还有一个结论是从 NFA 转换到 DFA,状态的个数可以达到指数级别的增长,例如:
这一点在我们上面画的树中也有所体现。但是实际上大部分状态都与原先的状态机无关,因此指数级只是一个上限。
Regular Language¶
以下内容部分来自 语言、自动机与正则表达式 - 鹤翔万里的笔记本
一个 Language 被称为 regular,当且仅当它被一个自动机 \(M\) 接收。我们有定理:
- 如果 \(A\) 和 \(B\) 是正则语言,则 \(A\cup B\), \(A\circ B\), \(A^*\) 都是正则语言。
我们一般使用 \(R\) 表示正则表达式,使用 \(L(R)\) 表示该正则表达式对应的语言。一个正则表达式由如下规则定义:
- Atomic:对于 \(\emptyset\) 对应语言 \(L(\emptyset)=\emptyset\),对于 \(a\in \Sigma\) 有 \(L(a)=\{a\}\)
- Composite:
- \(R_1 \cup R_2\) 对应语言 \(L(R_1 \cup R_2)= L(R_1) \cup L(R_2)\)
- \(R_1 R_2\) 对应语言 \(L(R_1 R_2)= L(R_1)\circ L(R_2)\)
- \(R_1^∗\) 对应语言 \(L(R_1^∗)= L(R_1)^∗\)
- 优先级:\(^*\gt \circ\gt\cup\)
- Ex. \(ab^∗ \cup b^∗a= (a(b^∗)) \cup ((b^∗)a)\)
\(R\) 和 \(L(R)\) 的对应关系
- \(\emptyset ^*\) => \(\{e\}\)
- \(a(a\cup b)^* b\) => \(\{w\in \{a,b\}^*\; :\; w \text{ starts with } a \text{ and ends with } b\}\)
- \((a\cup b)^* a (a\cup b)^* a (a \cup b)^*\) => \(\{w\in \{a,b\}^*\; : \; w \text{ contains at least two a's}\}\)
事实上,自动机和正则表达式之间是等价的,可以相互转换。要将一个 FA 转换为正则表达式,我们首先需要掌握如何通过归纳来折叠一个状态,如下是我们所使用的基本操作:
给定一个 NFA \(M\),要化简为正则表达式 \(R\),我们考虑为其手动新增一个初始状态和接受状态,用 e-transition 连接到原来的初始状态和接受状态,再逐一删除中间状态:
【Example】 假定有自动机 \(M\) 如下:
按照上面的逻辑,转换步骤如下:
那么最终 \(R=a^* b \left( a\cup b a^* b a^* b \right)^*\)
【More Example】
已知 \(\Sigma=\{0,1,...,9\}\),证明 \(L=\{w: w\in \Sigma^*\text{ be the nonnegative integers divisible by 2 and 3}\}\) 是正则语言。
正则语言之间有三种运算,两个正则语言通过这三种运算的结果仍然是正则语言,因此我们可以考虑将 \(L\) 分解为可以被 2 整除的 \(L_2\) 以及可以被 3 整除的 \(L_3\) 分别证明是正则语言。
首先对于 \(L_2\),它的特征是个位为偶数,因此表示如下,它也是通过几个正则语言运算得到的表达式:
对于 \(L_3\),我们知道它的所有位数字加起来要是 3 的倍数,我们可以为它绘制一个 NFA:
因此 \(L_2\) 和 \(L_3\) 都是正则的,而 \(L=L_2 \cap L_3\) 自然也是正则的。
更多判断 Language 是否是正则的例子如下:
- \(L=a^*\) 是正则的,因为它被 Regular Expression 定义
- \(L=\{a^n : n\ge 0\}\) 是正则的,因为它和上面语言等价
- \(L=\{w^R: w\in L_0, \text{ and}\ L_0\text{ is regular}\}\) 是正则的
- 这里 \(^R\) 表示反转
- \(L=\{a^n: n\in Even\}\) 是正则的,因为它等价于 \(L=(aa)^*\)
- \(L=\{w\in \{a,b\}^*: w\text{ has an equal number of a's and b's}\}\) 不是正则的
- 假设 \(L\) 是正则的,那么 \(L\cap a^* b^*=\{ a^n b^n: n \ge 0\}\) 就是正则的,但是 FA 无法记忆前面有多少个 a 以确保后面出现相同数量的 b,因此矛盾
- \(L=\{a^n: n\in Prime\}\) 不是正则的
- 注意这是质数,不是奇数
- \(L=\{ww^R : w\in \{a,b\}^*\}\) 不是正则的
- \(L=\{ww: w\in \{a,b\}^*\}\) 不是正则的
- \(L=\{wcw: w\in \{a,b\}^*\}\) 不是正则的
对于任意一个非空 alphabet \(\Sigma\),它的 String \(\Sigma^*\) 是可数无限集(Countable Infinite),而所有 Language 就是 \(\Sigma^*\) 的所有子集,其总数满足:
这意味着 Language 的总数是不可数的。
但是 Regular Language 是可数的,因为每个正则语言都可以被一个有限自动机描述,而有限自动机的集合是可数的。
Pumping Theorem¶
若 \(L\) 是一个 regular language,则存在一个常数 pump length \(p\in \mathbb{Z}^*\) 使得 \(\forall w\in L\) with \(|w|\ge p\) 可被分为 3 个部分 \(w=xyz\),满足:
- \(\forall i \ge 0, xy^iz\in L\)
- \(|y| > 0\)
- 被 pump 的字段非空
- \(|xy| \le p\)
- \(y\) 出现在 String 的前 \(p\) 个字符内
直观上看,在 DFA 接受一个长度至少为 \(p\) 的字符串时,开始读入前 \(p\) 个字符必然经过某一个状态两次(鸽巢原理),于是在这两个相同状态之间的读入片段 \(y\) 就是一个循环(loop),所以可以重复(或删去一次,相当于 \(i=0\)),而该片段仍保持被 DFA 接受——这就是“泵”的含义。
通常我们取 \(p\) 为某个 DFA 的状态数
泵定理是 Regular Language 的一个必要不充分条件,因此我们可以通过证明泵定理不成立来证明该语言不是一个 Regular Language。
- 假设 \(L\) 是正则的
- 那么存在泵长度 \(p\)
- 选择一个特定的字符串 \(w\in L\) 且 \(|w|\ge p\)。你的 \(w\) 可以依赖于 \(p\)(通常取与 \(p\) 相关的形式,如 \(a^p b^p\))
- 根据泵引理,我们知道任意对满足 \(|xy|\le p, |y|>0\) 的划分 \(w=xyz\),都应当满足 \(\forall i\ge0,\ xy^iz\in L\)
- 对任意可能的 \(y\)(满足上面的约束)构造一个 \(i\)(通常 \(i=0\) 或 \(i=2\)),使得 \(xy^iz\notin L\)。这就与泵引理结论矛盾,从而 \(L\) 非正则。
注意:第 5 步要覆盖“任意可能的 \(y\)”——也就是说你要分析所有满足 \(|xy|\le p, |y|>0\) 的情况并在每种情况下给出反例(一般通过观察 \(y\) 的组成,例如 \(y\) 只能由若干个 a 组成,从而改变 a 的数量会破坏语言性质)。
【Example】
证明 \(L=\{a^n b^n \mid n\ge0\}\) 非正则
- 假设 \(L\) 正则,设对应的泵长度为 \(p\)。
- 取 \(w = a^p b^p \in L\)。显然 \(|w| = 2p \ge p\)。
- 任意划分 \(w=xyz\) 满足 \(|xy|\le p, |y|>0\)。因为 \(|xy|\le p\),\(xy\) 完全位于第一个 \(a^p\) 中,所以 \(y\) 只含
a(且至少一个a)。 - 令 \(i=0\)。则 \(xy^0z = xz\) 则比原来少了一些
a(而b个数不变),所以形状变成 \(a^{p-|y|} b^p\),不属于 \(L\)(因为a与b的数量不同)。 - 与泵引理结论矛盾,故 \(L\) 非正则。
Example
常见的 non-regular languages 和简要证明思路 (\(p\) 是 pump length):
- \(L = \{0^n1^n\}\): 选 \(0^p1^p\),则 \(xy^0z \notin L\)
- \(L = \{ww\}\), \(L = \{ww^R\}\): 选 \(ab^pab^p\) 和 \(b^paab^p\),则 \(xy^0z \notin L\)
- \(L = \{0^m1^n\}\) where \(m > n\): 选 \(0^{p+1}1^p\),则 \(xy^0z \notin L\) (\(m\ge n\) 也一样)
- \(L = \{0^m1^n\}\) where \(m < n\): 选 \(0^p1^{p+1}\),则 \(xyyz \notin L\) (\(m\le n\) 也一样)
- 根据上面两个例子可以看出,union of 2 non-regular languages 不一定是 non-regular 的,例如 \(m > n\) 和 \(m \le n\) 的 union 是 \(0^*1^*\)
- \(L = \{0^m1^n\}\) where \(m \neq n\): 假设 regular,则 \((\{0^*1^*\} - L) \cap \{0^*1^*\} = \{0^n1^n\}\) is regular,矛盾
- \(L = \{1^n\}\) where \(n\) is prime: 选 \(1^k\) where \(k > p\) and \(k\) is prime,若 \(y = 1^s\) where \(0 < s \le p\),则 \(\forall n \ge 0, k + (n - 1)s\) is prime。但取 \(n = k + 1\) 得到 \(k + ks = k(1 + s)\) is not prime,矛盾
- \(L \in \{0, 1\}^*\) where numbers of 0's and 1's are equal: 假设 regular,则 \(L \cap 0^*1^* = \{0^n1^n\}\) is regular,矛盾
不存在判断任意语言是否为 Regular 的算法
- 证明语言正则
- 该语言有限
- 构造一个接受该语言的 FA
- 构造一个生成该语言的正则表达式
- 正则语言的闭包性质
- 证明语言非正则
- Pumping Theorem
- 反证
- 不存在接受该语言的 FA
- 正则语言的闭包性质
Context-free Languages & Pushdown Automata¶
Context-free Language¶
在形式化定义上,一个 Context-Free Grammar, CFG 由四个部分组成 \(G=(V, \Sigma, R, S)\):
- \(V\):字母表
- \(\Sigma \subseteq V\): 终结符集合(The set of terminal symbols)
- \(V-\Sigma\): 非终结符集合(the set of non-terminals)
- 非终结符一定是非空集合,因为起码包含 \(S\)
- 而终结符可以为空集 \(\emptyset\)
- \(S\in V-\Sigma\): 开始符号
- \(R\): 规则集合
- \(R\subseteq (V-\Sigma) \times V^*\)
- 是可数集合,形式为 \(A\rightarrow \alpha\),其中 \(A\in V-\Sigma,\; \alpha \in V^*\)
CFG 的上下文无关体现在 \(R\) 中的 rules 左侧只能是单个非终结符,即与周围的终结符无关。
终结符的意义在于,在根据定义的规则推导过程中,它们不能被替换;当推导到只剩下终结符时,表示生成完成
对应的,一个语言 \(L\) 是 Context-Free Language(CFL) 当且仅当存在一个 CFG \(G\) 使得 \(L=L(G)\),即可以被 CFG 生成。
判断:Language \(L\) is CFL iff \(L=L(G)\)
这个表述是错的,还要说明 \(G\) 是一个 CFG 😂
判断:Language \(L\) is CFL iff it is accepted by a CFG
这个表述也是错的,正确表述为:Language \(L\) is CFL iff it is generated by a CFG
Regular Language 是 CFL 的子集,即 All Regular Languages are CFL
| 主题 | 正规语言(Regular Language) | 上下文无关语言(Context-Free Language, CFL) |
|---|---|---|
| 生成工具(Generation Device) | Regular Expression(正规表达式) | Context-Free Grammar(上下文无关文法) |
| 识别工具(Recognition Device) | Finite Automata(有限自动机,FA) | Pushdown Automata(下推自动机,PDA) |
| 等价关系(Equivalence) | FA ⇔ Regular Expression | PDA ⇔ Context-Free Grammar |
【Example】
- 终结符为 \(\{a,b\}\)
- 开始符为 \(S\)
- 产生式集合为 \(\{S\rightarrow aSb, S\rightarrow e\}\)
- 或者表示为 \(\{(S,aSb),\; (S,e)\}\) 或 \(\{S\rightarrow aSb\; |\; e\}\)
这里的开始符 \(S\) 只是生成规则中的“变量”,最终要在推导生成中被替换为结束符
\(\{a^m b^n: m,n \ge 0 \text{ and } m\ne n \text{ mod } 2024\}\) 是 Regular 的,因为它可以维护 2024 个余数状态(有限)
类似的还有 \(m+n=2024\). \(|m-n | \text{ mod }5 =0\) 等
【More Example】
即证明回文字符串是上下文无关的,我们构造 CFG:
- \(S\rightarrow e,\; S\rightarrow a,\; S\rightarrow b\)
- \(S\rightarrow aSa,\; S\rightarrow bSb\)
- 可以简写为 \(S\rightarrow e \;|\; a \;|\; b \;|\; aSa \;|\; bSb\)
一个 CFG 处于 Chomsky Normal Form (CNF),当且仅当所有产生式满足下列形式
- 二元变量产生式: \(A\rightarrow BC\)
- 终结符产生式: \(A\rightarrow a\)
- 唯一空产生式: \(S\rightarrow e\)
- 可选,且 \(S\) 不出现在任何产生式右部
同 Regular Language 一样,CFL 也关于操作 Union, Concatenation, Kleene Star 闭包,但对 Intersection 和 Complementation 不闭包:
| 运算 | 正则语言 | 上下文无关语言 |
|---|---|---|
| 并 (\(\cup\)) | ✅ | ✅ |
| 交 (\(\cap\)) | ✅ | ❌ |
| 连接 (\(\circ\)) | ✅ | ✅ |
| 补 (\(\bar{A}\)) | ✅ | ❌ |
| Kleene 星 (\(*\)) | ✅ | ✅ |
但是 CFL 和正则语言的交运算是封闭的,即 \(\text{CFL} \cap \text{Regular}=\text{CFL}\),常用来证明语言不是 CFL
无限个 Regular Language 的并集可能不是 Regular 的,例如
判断:\(L_1 \circ L_2\) is regular, then either \(L_1\) or \(L_2\) is regular
F,对于 Non-RL \(L_1\),取 \(L_2=\overline{L_1}\) 也是 Non-RL。但是 \((L_1\cup \{e\}) \circ (L_2 \cup \{e\})= \sigma^*\) 为 Regular。
Parse Tree¶
CFG 的推导可以表示为一个 Parse Tree,该树的叶节点均为 terminal symbols,根节点为 start symbol,其余节点为 alphabet \(V\) 中的元素。我们将叶节点从左到右拼接成字符串,即可得到该 Parse Tree 对应的产出(yield)。
例如,对于 \(a^nb ^n\),可以绘制如下 parse tree 表示 \(a^4 b^4 \in a^n b^n\):
我们称两个推导满足 \(D\) precedes \(D'\):
- 前提场景:\(x_{k-1}= x_{k-1}'= uAvBw\)
- 这表示在第 \(k-1\) 步时,当前的句型中同时包含两个非终结符 \(A\) 和 \(B\)。
- \(u, v, w\) 是上下文(由终结符或非终结符组成的串)。
- 注意:\(A\) 在 \(B\) 的左边。
- 推导 \(D\)(先左后右):
- 第 \(k\) 步 (\(x_k = uyvBw\)):先对左边的 \(A\) 应用规则 \(A \rightarrow y\)。此时 \(B\) 保持不变。
- 第 \(k+1\) 步 (\(x_{k+1} = uyvzw\)):再对 \(B\) 应用规则 \(B \rightarrow z\)。
- 推导 \(D'\)(先右后左):
- 第 \(k\) 步 (\(x'_k = uAvzw\)):先对右边的 \(B\) 应用规则 \(B \rightarrow z\)。此时 \(A\) 保持不变。
- 第 \(k+1\) 步 (\(x'_{k+1} = uyvzw\)):再对 \(A\) 应用规则 \(A \rightarrow y\)。
- 结论:
- \(x_{k+1} = x'_{k+1}\):无论先做哪一步,两步之后的结果是一模一样的。
- \(\forall i \neq k, x_i = x'_i\):除了第 \(k\) 步的中间状态不同,推导的其他所有步骤完全一致。
在这里,由于推导 \(D\) 优先处理了左边的非终结符 \(A\),按照标准“最左推导”原则,称 \(D\) 先于 \(D'\)。
Precede 记为 ≺
在上下文无关文法(CFG)中,推导是一个线性的时间过程(一步接一步),而分析树是一个空间的层级结构。
- 现象:当一个句型中同时存在两个非终结符(例如 \(A\) 和 \(B\))时,你可以选择先推导 \(A\),也可以选择先推导 \(B\)。
- 本质:只要 \(A\) 和 \(B\) 是“并列”的(即互不为祖先),谁先谁后并不影响最终生成的树形结构。
- 目的:这段定义就是为了把这种“仅仅是顺序不同,但结构相同”的推导归为一类,称为 Similar(相似)。
那么对于两个推导 \((D,D')\),如果它们对运算 precedes 关于自反、对称、传递闭包时,我们称推导 \(D,D'\) 是 Similar 的。
假如一个 Grammer \(G\) 存在一些可以由不同的 Parse Tree 推导的 String,则我们称 \(G\) 是 ambiguous 的。
Pushdown Automata¶
下推自动机(Pushdown Automata, PDA)是一个带栈结构的 NFA,它可以使用栈做一些记忆功能。
在形式化定义上,PDA 由六个部分组成 \(P=(K,\Sigma, \Gamma, \Delta, s, F)\):
- \(\Gamma\): stack alphabet
- 栈中能出现的符号集合
- \(\Delta\): transition relation
- \(\Delta \subseteq \left(K\times (\Sigma \cup \{e\})\times \Gamma^* \right)\times \left(K\times \Gamma^* \right)\)
- 相对于 NFA 的 \(\left(K\times (\Sigma \cup \{e\}) \right)\times K\),在转移前后都增加了栈相关字符串
- 前一个 \(\Gamma^*\) 是栈顶字符串,匹配后 pop 出来
- 后一个 \(\Gamma^*\) 是转移后要 push 进去的字符串
最后判断能否接受一个 String \(w\) 要求不仅状态位于 Final State,还要 Stack 为空。用 \(\vdash\) 表示,则记为:
相应的,能被 PDA \(M\) 接受的语言记为:
在表示上,我们在状态转移的箭头上新增一个项,表示我们从栈中 pop/push 了什么符号,例如 \(\left((p,u,\beta), (q,\gamma)\right)\in \Delta\):
我们一般所说的 PDA 都是非确定性的,允许读取一个符号后(再根据栈的状态)做不同转移,也允许做 e-transition;而确定性的 PDA 并不与 CFL 等价,此处不再证明,请直接记住这个结论。
例如,对于 \(L(M)=\{ww^R\; :\; w\in \{a,b\}^*\}\),它的 diagram 如下:
事实上,对于 \(L(G)=\{wcw^R\; : \; w\in \{a,b\}^*\}\) 这种拥有形如 \(R=\{S\rightarrow aSa\;|\; bSb\;|\;c\}\) 的规则的 CFG,可以分如下三步构造 PDA 的转移方程:
对字符串 abbcbba 按照如上转移方程进行推导
Pumping Theorem for CFL¶
若 \(L\) 是一个 Context-Free Language,则存在一个常数 pump length \(p\in \mathbb{Z}^*\) 使得 \(\forall w\in L\) with \(|w|\ge p\) 可被分为 5 个部分 \(w=uvxyz\),满足:
- \(\forall i \ge 0,\; uv^i xy^iz\in L\)
- 无论我们将 \(v\) 和 \(y\) 重复多少次(包括0次,即删除),生成的字符串仍然属于 \(L\)。
- \(|v|+|y| > 0\) 或 \(|vy|\ge 1\)
- 被 pump 的字段非空
- \(v\) 和 \(y\) 不能同时为空
- \(|vxy| \le p\)
- \(y\) 出现在 String 的前 \(p\) 个字符内
泵定理是 Context-Free Language 的一个必要不充分条件,因此我们可以通过证明泵定理不成立来证明该语言不是一个 Context-Free Language。
【Example】
证明 \(L=\{a^i b^j c^i d^j\}\) 不是 CFL:
- 对于任意 \(p\ge 1\),取 \(w=a^p b^p c^p d^p\),则 \(|w|=4p\ge p\)
- 任意划分 \(w = uvxyz, |vxy| \le p, |vy| \ge 1\),则 \(vxy\) 最多包含两种字符
- 此时取 \(i=0\),则有 \(u v^0 x y^0 z = uxz \notin L\)
产生矛盾,因此 \(L\) 不是上下文无关语言。
不存在判断任意语言是否为 CFL 的算法
- 证明语言上下文无关
- 有限
- 构造 CFG 或 PDA
- 运算性质
- 证明语言非上下文无关
- Pumping Theorem
- 运算性质


















