Simulation With Optimization¶
约 2451 个字 预计阅读时间 12 分钟
Range: Chapter 1~4
Discrete Space and Time¶
Solid Geometry¶
在现代固体模拟领域,连接定义的描述方法是至关重要的。
- <1> Mesh of edges or triangles
- 是有限元方法(FEM)模拟的基础
- FEM 在 Simulation Accuracy Control 方面表现出色, 它直接在网格上操作,无需信息传输,从而确保更高的精度
- 本书集中在基于网格的有限元结构
- <2> Uniform grid to compute solid density
- 用于模拟 Material Point Method(MPM)
- MPM 在管理 Solid Topology 方面较为出色,例如模拟固体断裂等动态事件
Time Integration¶
牛顿第二定律为 \(f=ma\),我们将其应用到每一个采样点上,用矢量形式简洁表示为:
其中 \(M\in R^{dn\times dn}\) 是 Mass Matrix。
在我们基于物理的模拟中,总是假设我们拥有初始值 \(x^0\) 和 \(v^0\),以及基于物理模型可以计算的每个时间步长的 \(f^n\),以此来更新 \(x\) 和 \(v\)。
Explicit Time Integration¶
显示积分通过将已知值代入简单公式来计算 \(x^{n+1}\) 和 \(v^{n+1}\) ,本节介绍了 Forward Euler 和 Symplectic Euler Methods 两种显式方案。
Forward Euler
我们将连续的时间系统转换为离散形式,采用前向差分近似,即:
计算时,则可以通过已知量 \(x^n\), \(v^n\), \(f^n\) 来确定 \(x^{n+1}\) 和 \(v^{n+1}\) :
Symplectic Euler
Symplectic Euler 相比于 Forwar Euler 作了一点小小的改进,它采用 \(v^{n+1}\) 来更新 \(x^{n+1}\),即:
Implicit Time Integration¶
与显式积分相比,隐式积分需要求解一个方程组以确定 \(x^{n+1}\) 和 \(v^{n+1}\) 的值,这种方法的显著优点就是较高的稳定性。
隐式积分最简单的形式为 Backward Euler,它的更新规则为:
在大多数场景中,力依赖于位置而产生,即力向量是位置向量的一个函数:\(f^{n+1} =f(x^{n+1})\)。那么对于 (1.5.1),\(x^{n+1}\) 的计算依赖于 \(v^{n+1}\),\(v^{n+1}\) 的计算依赖于 \(f^{n+1}\),\(f^{n+1}\) 的计算依赖于 \(x^{n+1}\),这种相互依赖可以将问题转换为求解一个方程组:
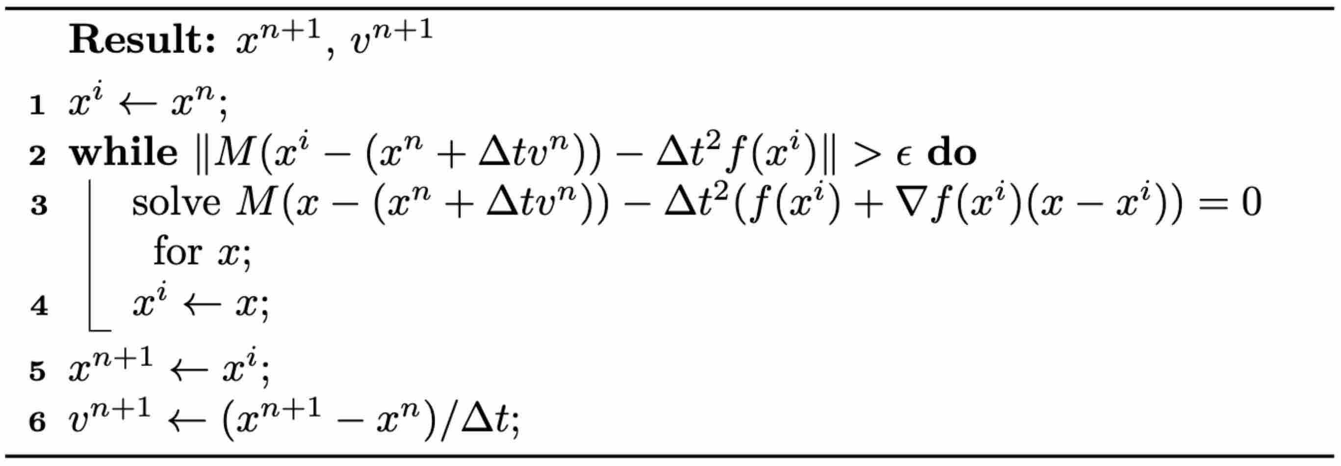
由于 \(f\) 和 \(x\) 的关系通常是非线性的,因此求解 (1.5.2) 我们也需要使用非线性根查找技术,例如牛顿法。
牛顿法在迭代过程中,可线性近似 \(f(x^{n+1})\) 为 \(f(x^i)+ (x^{n+1} -x^i) \nabla f(x^i)\),其中 \(x^i\) 是第 i 次迭代得到的值,它在循环开始前被赋值为 \(x^n\)。伪代码如下:
Optimization Framework¶
Optimization Time Integrator¶
使用 Backward Euler 时,每个时间步都需要求解一个非线性方程组,也相当于求解一个优化问题:
- \(\widetilde{x}^n = x^n +\Delta t v^n\)
- \(||x-\widetilde{x}^n||_M ^2 = \frac{1}{2}(x-\widetilde{x}^n) ^T M(x- \widetilde{x}^n)\)
- 表示惯性项
- \(\frac{\partial P}{\partial x}(x) = -f(x)\)
- \(P(x)\) 即为力 \(f(x)\) 对应的 Potential Energy
我们称 \(E(x)\) 为 Incremental Potential,IP 的 Local Minimum 处,即 \(\frac{\partial E}{\partial x}(x ^{n+1}) =0\),对应着公式 (1.5.2)。
将时间积分问题视为优化问题,是我们能够利用成熟的优化方法稳健的获取解
Dirichlet Boundary Conditions¶
在模拟过程中,通常需要在每个时间步控制固体上某些点的位置,例如将一组不可移动节点固定或是移动特定节点以固定路径。这种控制称为 Dirichlet Boundary Conditions(BC),这些条件可以在优化中表示为 Linear Equality Constraints:
方程 (2.2.1) 的矩阵 \(A\) 通常是一个 \(m\times dn\) 矩阵,其中 \(m\le dn\), \(m\ mod\ d =0\);相应的,\(b\) 是一个 \(m\times 1\) 的向量。
可以通过拉格朗日算法转换成 KKT Condition:
其中 \(\lambda \in R^m\) 表示拉格朗日乘子 (Lagrange Multiplier)。
Contact¶
为了准确模拟固体,确保它们不相互穿透是至关重要的。
为了避免碰撞或穿透,我们可以确保物体表面的距离永远不会减到零。我们使用不等式约束来模拟这个场景,因此时间积分问题可以表述如下:
\(c_k\) 表示表面特定区域对之间的 Distance,\(\epsilon \rightarrow 0\) 是一个很小的正数。
对于优化问题 (2.3.1) 的局部最小处,我们遵循如下 KKT Condition:
\(\gamma_k\) 是约束 \(c_k(x) \ge \epsilon\) 的拉格朗日乘子。\(\nabla c_k(x)\) 指向接触对 \(k\) 的接触力方向,将这个方向与 \(\gamma_k\) 的大小结合,我们得到该点实际的接触力。
Complementarity Slackness Condition \(\gamma_k (c_k(x) -\epsilon) =0\)
- 互补松弛条件确保了只有当固体接触时(\(c_k(x)=\epsilon\))才存在接触力,而未接触时不存在接触力(\(\gamma_k=0\))。
- 互补松弛条件表明,只有 Active Set 内的约束才会表现出非零拉格朗日乘子 \(\gamma_k\)。这也为不等式约束优化问题带来了组合难度。
在解决不等式约束优化问题方面,有各种技术可用,每种方法都有其独特的解决方案:
- <1> Primal-Dual Methods: 通过迭代,利用原始问题和对偶问题之间的关系来改进初始解。
- 有效但不一定高效、简单
- <2> Projected Steepest Descent Methods: 是经典最速下降法的改进,用于解决约束条件。
- 在每次迭代中,算法沿着最速下降方向移动。如果因为约束条件而偏移,则将其投影回可行集(Feasible Set)
- 简单直接,但是某些约束条件难以投影、收敛缓慢
- <3> Interior-Point Methods: 也成为 Barrier Methods,它通过 Barrier Function 来将解引导至可行区域的内部。
- 这种方法将约束问题转换为传统无约束问题
本书专注于一个稳健而准确的 Contact Modeling Method,称为 Incremental Potential Contact(IPC)。IPC 特点是将接触过程近似为 Smooth Potential Energy,这种转换有效地将问题转换为无约束问题,从而可以应用各种高效的优化技术。
Projected Newton¶
Line Search¶
在迭代最小化的方法中,线搜索能够确保在新的点处目标能量减少,它将步长进行了划分。
具体而言,是将每一步迭代的更新 \(x^i \leftarrow x\) 修改为 \(x^i\leftarrow x+ \alpha( x- x^i)\) ,其中 \(\alpha \in (0,1]\) 对能量 \(E(x)\) 的减少是必不可少的。
Backtracing Line Search 给定了一个下降方向,通过简单的减半来找出一个大致合理的 \(\alpha\) 取值:
Other Line Search
一些其它的 Line Search 方法通过插值的方式找到 \(\alpha\),使得新位置能够接近局部最小值。然而,这些方法会带来更高的计算成本,并且不一定能够优化总体时间。
在结合了 Line Search 的牛顿法中,如果 Newton's Method 始终生成一个下降的搜索方向,则该方法对于一个有下界的函数一定保证收敛。
我们知道对于第 i 次迭代,搜索方向 \(p= -(\nabla ^2 E(x^i))^{-1} \nabla E(x^i)\)。那么,对于凸函数能量(Convex Energies),\(p\) 始终是下降方向;对于非凸函数能量,则不一定总是成立。
Gradient-Based Optimization¶
标准牛顿法的搜索方向通过如下优化方程计算:
其中 \(P=\nabla ^2 E(x^i)\)。在一般情况下,我们可以使用使用其它矩阵来“代理” \(P\),例如取 \(P=I\),此时解得 \(p=-\nabla E(x^i)\)。这种近似虽然简单,但是只保留了一阶信息,收敛较慢。
理想情况下,我们希望代理矩阵 \(P\) 能够更接近 Hession 矩阵 \(\nabla^2 E(x^i)\)。一种可行的实践是使用 Hession 矩阵的 SPD 作为代理,这可以确保搜索方向始终下降的同时,保持较高的收敛速度。
SPD Matrix: 对称正定矩阵
当二次项的系数矩阵 \(P\) 是 SPD 的时候,则函数的凸性得以保证,这样解出来的搜索方向始终是下降的方向。
获取此类 SPD 的简单方法是将 \(\nabla^2 E(x^i)\) 投影到最近的半正定矩阵上,通过求解如下约束优化方程:
直观上来看,\(P\) 是将 \(\nabla^2 E(x^i)\) 的所有负特征值清零得到的:
- <1> 先对 Hession 矩阵做特征值分解 \(\nabla^2 E(x^i)= Q\Lambda Q^{-1}\)
- 其中 \(Q\) 的列向量是归一化的特征向量,\(\Lambda\) 是特征对角矩阵
- <2> 对于 \(\Lambda\) 中每个特征值,如果该特征值为负,则置零,得到新的对角矩阵 \(\hat{\Lambda}\)
- \(\hat{\Lambda}_{ii} =\Lambda_{ii} >0?\Lambda_{ii}:0\)
- <3> 用更新后的特征值重构代理矩阵
- \(P=Q\hat{\Lambda} Q^{-1}\)
现在,我们将确保全局收敛的投影牛顿法应用到隐式积分的 Backward Euler 时间积分中:
\(||p||_{\infty}\) 即为 \(\max \{|x_i|\}\),在 python 可以用 np.linalg.norm(x, np.inf) 计算


