CH 8 : Advanced Counting Techniques¶
约 1064 个字 预计阅读时间 5 分钟
8.1 Applications of Recurrence Relations 递归关系的应用¶
Definition A recurrence relation is: $$ \forall n\ge n_0, a_n=f( a_0, a_1, a_2,..., a_{n-1}) $$
常见的递归关系
(1) The Fibonacci sequence \(a_n= a_{n-1} + a{n-2}\)
(2) Pascal's recursion for binomial coeffcient: \(C_{n+1}^k = C_n^k + C_n^{k-1}\)
(3) The Tower of Hanoi: \(H_1=1; H_n= 2H_{n-1}+1\)
8.2 Solving Linear Recurrence Relations¶
不含常量的解法 Homogeneous¶
Linear homogeneous recurrence relation of degree k with constant coeffcients
- Linear:
- linear Combination of previous terms
- Constant Coeffcients:
- The coeffcient of ai are constants
- Degree k:
- \(a_n\) is a function of previous k terms of the sequence
- Homogeneous:
- 不含常量
Example
(1) \(a_n=(1.02) a_{n-1}\) linear;constant coeffcients;homogeneous;degree 1.
(2) \(a_n= a_{n-1}+2^n\) linear;constant coeffcients;nonhomogeneous;degree 1.
(3) \(a_n = na_{n-1}+ n^2a_{n-2}+ a_{n-1} a_{n-2}\) nonlinear;not constant;homogeneous;degree 2.
解法: 不动点法 ,高中教过,相信都懂!
含常量的解法 Nonhomogeneous¶
这一部分课本上的例题非常好,推荐去看。
- Definition
- \(a_n =c_1 a_{n-1}+ c_2 a_{n-2}+ ...+c_k a_{n-k} +F(n)\)
- \(c_k\ne 0,c_k\in R\)
- \(F(n)\) 非零,且只由\(n\)决定
- Solve: 找特解 \(a_n^{(p)}\)(Particular),再求不含 \(F(n)\) 的递推的通解 \(a_n^{(h)}\),则通解为 \(a_n^{(p)} + a_n^{(h)}\)
- 特别地,当 \(F(n)\) 的形式是\((b_tn^t +b_{t-1}n^{t-1} +...+b_1n+ b_0)s^n,\ b_i,s\in R\)
- (Case 1) \(s\)不为特征根,则特解为 \((p_tn^t +p_{t-1}n^{t-1} +...+p_1n+ p_0)s^n\)
- (Case 2) \(s\)为特征根且重复了\(m\)次,则特解为\(n^m (p_tn^t +p_{t-1}n^{t-1} +...+p_1n+ p_0)s^n\)
- 求解的时候注意特解的形式:取到哪个幂次
- 特别地,当 \(F(n)\) 的形式是\((b_tn^t +b_{t-1}n^{t-1} +...+b_1n+ b_0)s^n,\ b_i,s\in R\)
注意,可以将 \(n\) 看作 \(n*1^n\) ,则\(s\)取1,\(m\)取1,\(n\)转换成一次的一般形式\(p_1n^2 +p_o\)
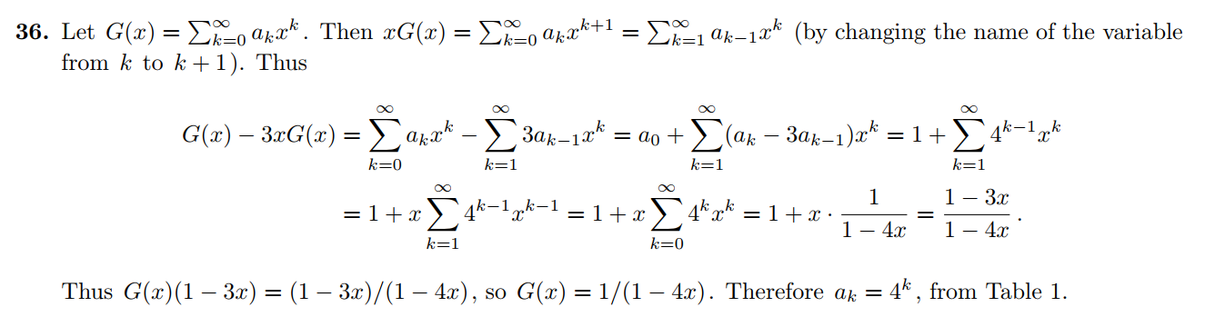
8.4 Generating Functions¶
生成函数的本质是处理排列组合的有效工具。
- Definition
- For sequence \(a_0, a_1, a_2, ...,a_k,...\),its generating function is: \(G(x)=a_o +a_1x+ ...+a_kx^k+ ...=\sum_{i=0}^{\infty} a_kx^k\)
- eg: \(1+x+...+x^k= \sum_{k=0}^\infty x^k =\frac{1}{1-x},|x|<1\)
- 重要等式
- 若\(b_k= \sum_{i=0}^k a_i\ \ a_k\leftrightarrow G(x)\ \ b_k\leftrightarrow F(x)\),则\(F(x)=\frac{G(x)}{{1-x}}\)
- \(C_{-n}^k =(-1)^k C_{n+k-1}^k\)
Counting with Generating Functions¶
r-combinations from a set with n elements with repetitions allowed¶
在term中,\(x^i\)代表这个元素有被选了i次,共有n个元素,因此我们: \(G(x)=(1+x+x^2 +x^3+... )^n= (\frac{1}{{1-x}})^n =\sum_{k=0}^\infty C_{n+k-1}^k x^k\) 其中我们要找的答案就是\(x^r\)的系数\(C_{n+r-1}^r\)
Example Find the number of solutions of \(e_1+ e_2+ e_3 =17\ \ where\ 2\le e_1\le 5,3\le e_2\le 6,4\le e_3\le 7\)
答案就是\(x^{17}\)的系数。
如何快速求系数?
在这里我们以\(G(x)=(1+x+...+x^{2r} )^3\)求\(x^{3r}\)的系数为例:
\(G(x)=(\frac{1-x^{2r+1}}{1-x})^3 =\frac{1-3x^{2r+1}+ 3x^{4r+2}- x^{6r+3}}{(1-x)^3}\)
令\(F(x)=\frac{1}{(1-x)^3}=\sum C_{i+2}^{i} x^i\),因为\(G(x)=({1-3x^{2r+1}+ 3x^{4r+2}- x^{6r+3}})F(x)\)只需要找到i=3r和i=r-1(2r+1+i=3r)的情况即可
因此,\(a^{3r}=C_{3r+2} ^{3r}-3C_{r+1} ^{r-1}\)
8.5 Inclusion-Exclusion¶
For the Union of n finite sets:
假设共有r个集合包含元素a,那么这个元素被count的个数有等式:
其中等式左边的1与\(|A_1 \cup A_2\cup ...\cup A_n|\)对应
8.6 Application of Inclusion-Exclusion¶
以 \(N(P_i)\) 表示满足 \(P_i\) 的个数,则有 $$ N(P_1' P_2'... P_n')=N- |A_1 \cup A_2\cup ...\cup A_n|=N- \sum_{1\le i\le n} N(P_i)+\sum_{1\le i\lt j\le n} N(P_i P_j)-...+(-1)^nN( P_1 P_2...P_n) $$
例题1 将隔板原理题目化简
例题2 onto functions的个数
例题3 derangement 打乱次序,且每个元素不在原来位置







