Soft Body¶
约 2051 个字 14 行代码 预计阅读时间 10 分钟
Linear Finite Element Method (FEM)¶
Linear Element 指的是三角形(二维)或者四面体(三维)。在 Linear Element 层面上,图形学的有限元和机械上的有限元是一样的。
称三角形静止状态为 Reference。在 FEM 中我们假设三角形内部形变是均匀的,即三角形内部任意点 \(X\) 形变后的坐标可以用 \(x=FX+c\) 来表示。
\(F\) 也被称为形变梯度 Deformation Gradient,因为 \(F=\partial x /\partial X\)
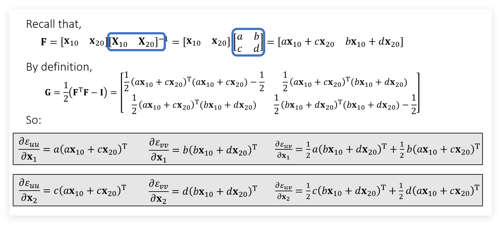
我们可以选取三角形内部一个矢量的前后变换来计算得到 \(F\),例如 \(F=[x_{10}, x_{20}][ X_{10}, X_{20}]^{-1}\)
由于我们希望得到一个只描述了形变的矩阵,不希望包含三角形的旋转信息。我们知道,在 SVD 中,一个三角形的变换 \(F=UDV^T\) 由 \(Rotation: V^{T},\ Scaling: D,\ Rotation:U\) 组成,为了消除 \(U\) 的影响,引入一个新的概念 Green Strain:
无形变时,\(G=0\);\(||G||\) 与形变程度正相关
有了形变矩阵后,我们希望得到三角形某一形变状态下的能量,定义三角形 Reference 状态下的能量密度为 \(W(G)\),总能量为面积乘以能量密度 \(E=A^{ref}W(G)\)
Saint Venant-Kirchhoff Model, StVK 能量密度模型
定义了能量之后,我们就能计算形变时作用的力了:
总之,最后的结论是:
最后根据力使用显式积分或隐式积分进行更新。
Finite Volume Method (FVM)¶
相比于 FEM 用能量对位置求导计算力,FVM 对 Traction Vector 积分得到力。
- 在二维空间中,Traction Vector 表示单位长度受到的力 \(T= \frac{dF}{dl}\)
- 在三维空间中,Traction Vector 表示单位面积受到的力 \(T= \frac{dF}{dA}\)
在不同的状态、不同的需求下,我们定义三种不同的 Stress:
其中 Second Piola-Kirchhoff Stress 是上一小节 FEM 用的,而 Cauchy Stress 是本节 FVM 需要用到的,因为我们需要计算形变后的法线变成形变后的力。
\(F\) 指的是上一节定义过的 Deformation Gradient 形变梯度
其中 \(D_m\) 在初始化中进行设置,表示四面体原本的形状。\(F\) 在每一帧的更新中计算,表示四边形的形变梯度。
得到形变后四面体四个顶点受到的力后,再用积分法更新速度和位置完成模拟即可:
当划分的单元为三角形或四面体时,FEM 和 FVM 等效
Hyperelastic Models¶
在 FEM 一节中,我们使用 Saint Venant-Kirchhoff Model, StVK 来作为能量密度模型。本节再介绍几种不同的模型。
对于各向同性材料,我们认为其 First Piola-Kirchhoff Stress 有如下性质:
其中 \(\lambda\) 为形变过程中各个维度的缩放系数,即缩放矩阵 \(D\) 的对角线元素。
记 \(C=D^TD\) 为柯西-格林变形张量,且有:
在此前提下,四种不同的弹性模型的能量密度 \(W\) 可记为:
Collision Handling¶
Collision Detection¶
碰撞检测一般分为两个阶段,第一步先用 Spatial Hashing 或 BVH 排除掉大部分不可能发生碰撞的三角形对;第二步再在局部用 DCD 或 CCD 进行碰撞检测。
Spatial Hashing
Spatial Hashing 又被称为 Spatial Partition,它将空间划分为一个个 bucket,如果三角形与某 bucket 相交,则维护一个该 bucket 到该三角形对象的指向。
当检测碰撞时,只需要看同一个 bucket 有多个对象的区域即可。
但是直接存储所有 bucket 需要占据大量内存,我们不再维护空格子,而是维护非空的键值对链表,第一个元素是格子的 ID,第二个元素指向三角形对象。
可以类比成 List 转成 Linked List
问题在于,如果使用类似上图的 Grid Order 形式,在我们遍历链表的时候不能很好的访问周边格子,Cache 命中率较低,即缺少 Locality 特性。可以采用 Morton Code 作为编号方式:
Spatial Hashing 的优点是容易执行、对 GPU 友好;缺点是每次物体更新都要重新计算。
Bounding Volumn Hierarchy
按照对象的邻近性,我们构造有层次的包围盒:
碰撞检测时,从上到下进行判断是否相交,如果大包围盒都没有相交,那么也就不需要判断小包围盒了。
我们一般采用 Axis-aligned 的包围盒,即与坐标轴对齐,这样判断是否相交只需要根据坐标之间的关系比对即可。
包围盒的局限性在于,对于周遭的三角形很难剔除;并且对于大形变物体的模拟,如衣服,较难应用。
Discrete Collision Detection
DCD 在离散的时间 \(x^{[0]}\) 和 \(x^{[1]}\) 中检测物体是否相交。对于一条已知的 edge \(<x_a, x_b>\),我们需要检测其是否与三角形 \(x_1 x_2 x_3\) 相交,计算步骤如下:
如果 \(t\in [0,1]\),则可判断该 edge 与三角形相交。
对于运动比较快的物体,有可能存在前后两个离散时间状态都没有相交,但是实际上应该相撞了的情况。
Continuous Collision Detection
CCD 检测 \(x^{[0]}\) 到 \(x^{[1]}\) 状态之间,是否发生相交。在 CCD 中,我们认为每个点在两个时间之间的速度是固定不变的,那么两个状态之间的位置都可以表示为 \(x(t)\) 一次线性函数。
我们有两种方法进行检测相交:
三次方程尽量用牛顿法或二分法解,如果用求根公式,三次方根的误差非常大
相比于 DCD,开销更大、更难实现。
Collision Response Approaches¶
给定两个状态 \(x^{[0]}\) 和 \(x^{[1]}\),我们想要找到一个离 \(x^{[1]}\) 较近的 \(\bar{x}^{[1]}\) ,使得 \(x^{[0]} \bar{x}^{[1]}\) 没有发生相交(即没有碰撞)。 此时有 Interior Point Methods 和 Impact Zone Optimization 两种策略:
- Interior Point Methods: 细化模拟的步长,提高模拟的真实性,尽量保证每一步都落在合法范围内。
- 内点法保证永远能模拟到还算合理的结果,但可能要走很多步才能达到边界位置。
- 由于物体上所有点的模拟需要同步进行,不仅发生碰撞的点需要走这么多步,其他物体上所有的点都需要跟着走很多步,所以内点法运行速度比较慢。
- Impact Zone Optimization: 从发生碰撞的位置出发回到合法位置
- 只需要处理发生碰撞的那些顶点,且模拟的步长可以设得比较大,运行速度较快。
- 但是可能存在回不到合法区域的情况,尤其是当模拟步长较大,导致碰撞位置离安全区域较远的时候。
Log-Barrier 内点法设置能量为距离的 log,来求解碰撞最终的合法位置:
最后变成一个优化问题。(摆了)













